Diversity and inclusion are critical to eliminating inequities in global health endeavours.1 Representation from the Global South is essential to the global health field because researchers from this region, where the burden of disease and disability is higher, can present potential solutions based on their knowledge and lived experiences.1,2 However, research production, evaluation, and authorship from the Global South — which mostly consists of low-to-middle-income countries (LMICs) — have been persistently underrepresented compared to their counterparts from the Global North.1,3 Global North-South research gaps persist and widen in a 50-year bibliometric analysis conducted by Cash-Gibson et al. in 2018, which found that only 59% of analyzed publications about LIC had at least one author from a LMIC-affiliated institution.3 In another study analyzing authors in The Lancet Global Health between June 2013 and July 2017, only 35% of authors were affiliated with or based in LMICs, and articles featuring multiple regions had 17% authorship from LMICs.4
Many studies have recently focused on how women are underrepresented in academia.5 This gender inequity is particularly problematic, as it has been shown to hinder career progression, such as fewer leadership bids, promotions, and resources, which reflect a “waste of intellectual capital”.6 In a review of academic global surgery conference abstracts, 44% have female first authors while only 26% have senior female authors.7 The gender disparities in academia are recognized as an issue in top global health journals, especially in the Global South. Noticeably, The Lancet has committed to a Diversity Pledge that seeks to increase the representation of women and members of the Global South in its editorial advisors, peer reviewers, and authors.8
Despite the growing number of global health bibliometric analyses, geographic, economic, collaboration, and gender authorship trends in major global health journals have not been examined together.3,9–11 The objective of this article is to comprehensively describe the authorship disparities that exist in 46 global health journals and examine the prevalence of multiregional/international authorship collaborations.
METHODS
Dataset characteristics
Articles published before December 31, 2020, in 46 major global health journals were extracted from PubMed® (https://pubmed.ncbi.nlm.nih.gov) (Online Supplementary Document, Table S1). All journals were labelled as global health journals according to the National Library of Medicine (NLM) Catalog and previous reports (Box 1).
Data about the articles (title, publication date, and unique identifiers) and authors (complete name and affiliated institution) were recorded. The authorship position was assigned to authors based on their order of appearance in the article’s list on PubMed. More precisely, the authors whose name appeared first on the list or sole authors were considered as “first authors” and the ones who appeared last on the list were considered as “last authors.” Other authors were considered as “middle authors”.
The country and geographic continent (North America, Latin America and the Caribbean, Europe, Asia, Africa, or Oceania) were inferred from the authors’ affiliated institution. Countries were assigned to continents according to the Statistic Division of the United Nations Department of Economic and Social Affairs. The World Bank classification by income (low, low-middle, upper-middle, high) was based on the authors’ affiliated institution’s country and the article publication year. The World Bank assigns countries to income groups annually by calculating the country’s gross national income in US dollars and by using the Atlas conversion factor.
As PubMed does not indicate the affiliation of the middle and last authors prior to 2014, the analysis of authors by geographic location was performed for articles from 2014 to 2020.12 The genders of all authors (1945-2020) were assigned using Gender-API.
Research collaborations are defined as articles whereby the affiliation country of an article’s first and last author differs.
Statistical analyses
Statistical analyses were performed using STATA/SE version 16.1 (Stata Corp, College Station, Texas, USA). For all statistical tests, a P-value that was smaller or equal to 0.05 was deemed as statistically significant. Cuzick non-parametric tests for trend were performed to assess whether there was a significant correlation between authorship gender proportions over time. McNemar’s test was used to evaluate the association between the authorship position and their gender. Pearson’s Chi-Squared tests were performed to assess whether there were significant relationships between the geographic continent of the authors, the World Bank income groups of the authors’ affiliated country, and the authorship positions. Pearson’s Chi-Squared test was also used to analyze the significance between first-last authorship collaborations within an article and the World Bank income groups of the affiliated countries.
RESULTS
287,871 total authors from 60,310 articles published from September 1, 1945, to December 31, 2020, were extracted from 46 global health journals. We excluded 97,062 authors for whom genders could not be determined through Gender-API (e.g., incomplete first name, articles written by groups or societies). A total of 190,809 authors and 33,854 articles were retained for gender analysis. Among these authors, there were 107,391 different authors who co-authored between 1 and 101 articles. 86.9% of these different authors published 1 to 2 articles, 9.0% published 3 to 5 articles, and 4.0% published more than five articles. The authors’ genders were determined with a mean accuracy of 94.5%.
To determine the authors and articles used for geographic analysis, data used for gender analysis was further refined. Prior to December 2013, PubMed included the affiliation of only an article’s first author.9 This was represented in our dataset, where over 70% of global health authors lacked documented affiliations in 2013 and prior years. The percentage of authors with documented affiliations increases significantly after 2013. Thus, we excluded 13,504 articles that were published before 2014 and 203 articles published after 2013 with unknown affiliations for all authors. 111,010 authors and 20,147 articles remained for analysis of authors’ geographic affiliation and gender. A large proportion of authors without country affiliations include those who used their personal email for correspondence (e.g., Gmail) or who listed their affiliations as journals or international organizations. The methods used to identify and extract bibliometric data are displayed in Figure 1.
Authorship distribution by gender and authorship position
Gender parity for women in global health has not yet been achieved, with women comprising 39.3% of all authors (Figure 2, plate A). However, our results show that the proportion of women authorship has increased over the years. While women were 28.2% (761/2,697) of all global health authors in 2002, this increased to 41.8% (12,194/29,203) in 2020 (Cuzick, P < 0.001). Similarly, women are increasingly represented as first and last authors, corresponding with an average annual percentage increase of 2.3% and 9.0%, respectively, from 2002 to 2020. Unexpectedly, within authors grouped by gender, 19.3% (14,513/75,008) of all women were first authors, whereas 16.1% (18,634/115,801) of all men were first authors (Figure 2, plate B). For last authors, only 12.7% (9,544/75,008) of women are last authors compared to 16.7% (19,318/115,801) of men (McNemar, P < 0.001).
The proportion of all women authors varies by the journal (Figure 3). Nine of the 46 global health journals examined had women making up over 50% of authorship; the highest proportion was seen in Global Health Governance, with 66.7% (10/15 authors) identified authors were classified as women by Gender-API. Women made up 13.8% of all authors in (35/254) in Annals of Tropical Medicine and Parasitology . From 2002 to 2020, the median and mean number of gendered authors across journals was 1,960 and 4,240, respectively.
Authorship distribution by country
Global health authorship is heavily concentrated, with 10 countries collectively representing the affiliations of over 50% of global health authors (Figure 4, Table 1). The United States accounted for 24.6% of all global health authors, followed by the United Kingdom (7.7%), China (7.0%), India (3.6%), and Brazil (3.0%). 10 of the 20 countries with the most global health authors are classified as high income, 4 as upper-middle income, and 5 as lower middle-income countries. The low income country most represented in global health authorship is Uganda, which accounts for 1.4% of all global health authors examined in this study. Of the 20 countries with the most global health authors, Brazil, South Africa, Thailand, and Sweden have women authors representing over 50% of the countries’ global health authors.
Authorship distribution by continent
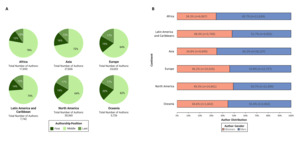
Authorship was found to be unevenly distributed among continents (Figure 5, plate A, P < 0.001). 27.3% (30,360/111,010) of authors were from North America, followed by 25.1% (27,836/111,010) from Asia, and 21.3% (23,653/111,010) from Europe. Africa, the second-most populous continent, had only 15.9% (17,693/111,010) of the world’s global health authors. A lower proportion of all authors from Africa (22.3%, 3,940/17,693), Latin America and Caribbean (26.2%, 2,029/7,742), and Asia (28.1%, 7,828/27,836) are either first or last authors compared to Oceania (37.6%, 1,402/3,726), Europe (35.9%, 8,498/23,653), and North America (36.2%, 10,995/30,360). We noted that woman authorship (Figure 5, plate B) is proportionately greatest in North America (49.3%, 14,961/30,360), as well as Latin America and the Caribbean (48.3%, 3,740/7,742). Women in global health are least represented as authors in Africa and Asia, respectively making up 34.3% (6,067/17,693) and 34.8% (9,699/27,836) of all authors.
Authorship distribution by income group
The authorship position depended on the authors’ World Bank income group affiliation (P < 0.001). High income economies account for 57.5% of global health authorships, and low income economies make up 8% (Figure 6). 42.5% of global health authors are from LMICs. With an increase in income level, first and last authorship makes up an increasing percentage. For global health authors within income groups, women are most represented in high income countries (45.9%, 29,199/63,626), followed by upper-middle income (43.4%, 9,667/22,276), lower-middle income (34.8%, 5,560/15,957), and low income (28.2%, 2,480/8,795). Between 2014 and 2020, the proportion of global health authors from low income countries have fallen from 9.6% (715/7,449) to 7.2% (1,956/27,324). This is accompanied by authors from lower-middle income and upper-middle income countries making up a greater share of total global health authors in the same period, from 11.7% to 15.4% and 19.6% to 23.1%, respectively.
Collaboration across income groups
First and last author collaboration frequency varies significantly by the authors’ affiliated WBi group (P < 0.001). When comparing income group affiliations between first and last author, 84.0% (12,731/15,164) of articles involved first and last authors from the same income group (Figure 7). Of these, 70.5% (8,977/12,731) articles included both first and last authors from high income countries. For collaborations across income groups, articles with a lower middle-income country first author and a high income country last author were most common (24.7%, 600/2,433). The least common pairing is having a low income country first author paired with an upper middle-income country last author (0.7%, 17/2,433). The proportion of articles where first authors from low income, lower-middle income, upper-middle income, and high income economies collaborate with a last author from outside their income group is 47.2% (370/784), 37.7% (676/1,794), 17.8% (482/2,704), and 9.2% (905/9,882), respectively. The proportion of last authors from low income, lower-middle income, upper-middle income, and high income economies that collaborate with a last author from outside their income group is 38.8% (263/677), 24.5% (363/1,481), 16.5% (440/2,662), and 13.2% (1,367/10,344), respectively.
Collaboration across continents
Collaboration incidence in global health articles varies significantly by the authors’ affiliated continent (P < 0.001). Most articles involved first and last authors from the same continent (79.9% 12,109/15,164) (Figure 8). Of these, it was most common for both first and last authors to be from North America (33.2%, 4,026/12,109), followed by Europe (24.3%, 2,941/12,109) and Asia (22.9%, 2,769/12,109). For inter-continental collaborations, articles with a first author affiliated with an African country and the last author affiliated with a European country were most common (10.4%, 318/3,055). It was least common for a first author from Oceania to collaborate with the last author from Latin America and the Caribbean (0.03%, 1/3,055). Of all articles with a first author from Africa, 36.8% (670/1,819) featured the last author from outside the continent. When the first author was from Oceania, Latin America, Asia, Europe, and North America, the likelihood that the last author is from a different continent was 23.2% (144/621), 19.0% (175/922), 18.9% (647/3,416), 17.9% (642/3583), respectively. Similarly, of all articles with a last author from Africa, 29.7% (486/1,635) includes a first author from outside Africa. When the last author was from Oceania, Latin America, Asia, Europe, and North America, the likelihood that the first author is from a different continent is 23.3% (145/622), 17.0% (153/900), 12.3% (387/3,156), 24.3% (945/3,886), and 18.9% (939/4,965) respectively.
DISCUSSION
This study analyzes the geographic, economic, and gender authorship trends in global health academia from 2002 to 2020, which have not been examined together until now. Overall, the number of authors and volume of article publications have risen significantly since 2002 with the growth of higher education and an increase in the number of higher education academics and researchers globally.
Nonetheless, apparent differences in geographic, economic, and gender authorship continue to persist in the field. The overall number of authors publishing in the top 46 global health journals has risen significantly from 2002 to 2020, of which 39.3% of authors were identified as women according to the Gender-API (Figure 2, plate A). Subsequent analysis revealed that men dominate in all three authorship positions (first, middle, and last author) compared to women (Figure 2, plate B). Even though women authors were proportionally more likely to be in the first authorship position at 19.3% compared to 16.1% for men authors, they were proportionally less likely to be in the last authorship position at 12.7% compared to 16.7% for male authors. Differences in academic publishing career lengths and career dropout rates as well as fewer female role models in leadership positions and gender role stereotypes, may contribute to these statistics.13 Our research also demonstrates that women authors from LMICs face additional barriers. Whereas 45.9% of global health authors in high income countries are women, 43.4%, 34.8%, and 28.2% of global health authors are women in upper-middle income, lower-middle income, and low income countries, respectively.
High income countries continue to predominate top country authorship contributions, with the United States contributing nearly a quarter of global health authors alone. The uneven distribution of authorship by country and by region may be associated with the differences in the number of full-time researchers. As of January 2022, the WHO Global Observatory on Health Research and Development estimates that high income countries have 391 full-time health researchers per million inhabitants compared to 164 in middle-income countries and 7 in low income countries 4.14 However, the disparity in the number of authors does not explain why authorship positions and gender proportions differ across regions. Our study reveals that authors from Africa and Asia are more likely to contribute to a paper as a middle author rather than a first or last author (Figure 5, plate A). This could be because publication costs are borne mostly by the principal investigator, who is typically listed as the last author. The lack of representation of African or Asian authors as last authors may be attributed to the high publication and subscription costs associated with international journals, which serve as a barrier for publication, even as efforts to reduce the costs and increase accessibility are made.3,15,16 Alternatively, the higher proportion of middle authors in Africa and Asia may also suggest that articles from these regions have more authors per article than in other continents, leading to more middle authors. Interestingly, a lower proportion of global health authors from Africa and Asia are women (Figure 5, plate B), while North America is closest to reaching gender parity in authorship. The explanation for these differences should undergo further investigation.
Currently, joint research collaborations were more likely to be between same income group countries and continents. Interestingly, as the country income-group of either the first or last author increased, the less likely the article will feature first and last authors of different income groups. For example, compared to their counterparts from other continents, first authors from Africa are more likely to author articles with last authors from a different continent. It should be noted that this phenomenon could result from more global health authors from certain income groups. Nonetheless, it is important to foster partnerships between regions separated by income and vast geography for global health to be truly global. Additionally, to avoid “token partnerships”, collaboration programs should be developed based on shared interests, a commitment to joint learning, and mutual respect and understanding of social, cultural, and linguistic differences. Therefore, institutions in high income countries should continue to develop global health education and research programs and consider aiding the expansion of similar programs in developing countries.
Strengths and limitations
A major strength of this study is its comprehensiveness in journal selection and combined analysis of gender, geographic region, and extent of international collaboration. However, this study has some limitations. First, publications from 46 global health journals were selected for analysis in terms of the study design. Thus, this study does not reflect all authorship and work in this field. Second, our study examines those who have published in global health rather than the total number of global health researchers, some of whom may have not published in the journals we analyzed. Therefore, we cannot ascertain whether authorship disparities by gender and geographic region can be explained by fewer researchers or available global health programs. Third, international academic journals served as the primary source of this analysis. Since these journals are known to have an English language bias, our results may favour English-speaking countries, a bias like Cash Gibson et al.‘s bibliometric analysis.3 While authors from North America, Europe, and Oceania may be overrepresented as a result, the findings in this study are important because research published in a field’s top journals are often used to inform policy and development decisions. Fourth, collaboration was assessed through only the affiliations of the first and last authors. Some studies with first and last authors classified as belonging to the same income-group or continent may have middle authors from a different region. We considered only the first and last authors in collaboration because these two authorship positions are given the most emphasis in this field. Fifth, we assigned authors to countries, and, thus, continent and World Bank Income Group, by their institutional affiliations indicated on PubMed. We recognize that the country of institutional affiliation is not always one’s country of origin. Our study did not account for authors’ countries of origin because retrieving this information is unfeasible on a large scale. Finally, automated gender detection software may misassign some authors’ genders and not capture non-binary gender identities. Nonetheless, Gender-API was used in this study for its high accuracy rate and practicality.
CONCLUSIONS
The findings from this study indicate that women are increasingly represented in global health research from 2002 to 2020. However, there has not been a significant proportional increase in researchers from LMICs from 2014 to 2020. More authors are from North America, followed by Asia and Europe, compared to other continents. The first and last authors from high income countries are less likely than authors from LMICs to collaborate outside their income group, even though global health research arguably most impacts resource-limited countries. Global health researchers from the Global South and LMICs could benefit from more structural support throughout the research process.
Acknowledgements
The authors would like to thank Xuan-Vi Trinh from the Department of Computer Science at McGill University for her technical support with the statistical analyses.
Ethics approval
This study received an IRB exemption by the Stanford University Ethics Committee.
Funding
This study was made possible thanks to support from Sigma Xi through Grants in Aid of Research (Spring 2019, Fall 2020 to AN and AW).
Authors’ contributions
JY created most of the figures, edited the final manuscript, and wrote the abstract, results, and parts of the discussion. AN initiated the research idea, extracted the data, and contributed to the figures. LX wrote most of the discussion and introduction, and AL performed the data analysis. AW supervised the project and edited the final manuscript.
Competing interests
The authors completed the Unified Competing Interest form at http://www.icmje.org/disclosure-of-interest/ (available upon request from the corresponding author), and declare no conflicts of interest.
Correspondence to:
Jacqueline Yao, Infectious Diseases and Immunity in Global Health Program, McGill University Health Centre Research Institute, Montréal, Quebec, Canada.
[email protected]
Online Supplementary Document
Table S1 can be downloaded here.


_gender_trends_from_2002_to_2020._(b)_aut.png)

__clustered_by_the_jenks_op.png)
_authorship_position_by_continent_of.png)
.png)
_number_of_artic.png)
_number_of_articles_with_combi.png)